独Spin Digitalは、ベルリン・フラウンホーファーHHIハインリヒ・ヘルツ研究所にてビデオコーディングの専門家であったスタッフ達が創立者メンバーである。NABでは、汎用ワークステーションPCで8K60p 4:4:4映像のリアルタイム再生が可能なソフトウェアベースのデコーダーシステムと、10bit 4:2:0、12bit 4:2:2、4:4:4をサポートする、オフラインのHEVCエンコーダーシステムのパフォーマンスを実機で紹介している。

ブースでは、パナソニック液晶ディスプレイ社の8Kディスプレイ、およびNHKメディアテクノロジーの8Kコンテンツが使われた。デコーダーPCからはNVIDIAグラフィックボードのHDMIケーブル8本で8Kディスプレイ側と接続されている。

エンコーダーおよびデコーダーは、HEVC/H.265 version 2(Range Extensions)として、HDR、HFRおよびWGCに対応する。エンコーダーはWindowsおよびLinux環境のSDKを提供する方式のほか、クラウドベースでのPaaSを提供する。デコーダーは、エンコーダーと同じくWindowsおよびLinux環境に対応し(Windows7/8/Linuxはデコードのみ)、プレイヤーを構築するインテグレーターにロイヤリティもしくは一括ベースで提供する。メディアプレイヤーはMedia Player Classic BEベースで独自のDirectX 12レンダリングを利用して再生する。

160421_Encoder-Graph

エンコードパフォーマンス。高圧縮率ながら高品質で処理する

エンコーダーはスケーリングおよびカラーコンバージョンといったフィルターに対応し、またファイル形式を変換するHEVCトランスコーダーとして、MP4、MPEG2-TS、MKVにトランスコードする。

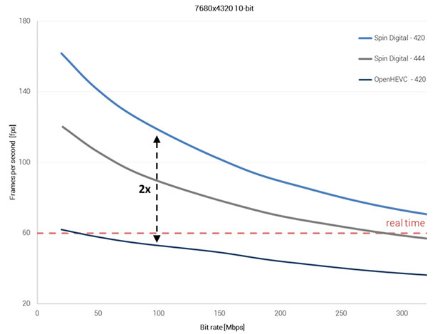
160421_Decoder-Graph

最大250Mbps、8Kp60、4:4:4、10bitをリアルタイム処理できる

(山下香欧)